Косинус угла и филологи
Занимательная тригонометрия
чтоб посчитать орангутангенс
вам нужно псинус поделить
логарифмической линейкой
на сенокосинус угла
© бес
Керсинус (тригонометрическая функция)
Керсинус — тригонометрическая функция, отражающая для прямоугольного треугольника зависимость длин гипотенузы и высоты опущенной на гипотенузу. Эта функция не имеет широкого применения в науках, связанных с математикой.
Определение: Керсинус — это произведение синуса угла и косинуса того же самого угла.
Другими словами керсинус угла α - это отношение h/c. (cer α = h/c).
Керсинусом угла β называется отношение h/c. (cer β = h/c).
Стоит отметить, что cer(x)=cer(90°-x).
На рисунке нету h, поскольку я забыл его добавить. CH = h.
График функции y = cer(x) имеет следующий вид:
Максимальное значение функции 0.5
Минимальное значение функции -0.5
Период функции π.
Нули функции 0.5π + πn , n ∈ Z
Первообразная и производная керсинуса:
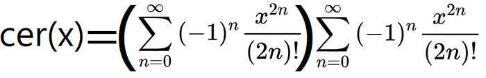
И под конец, мое любимое, ряд Тейлора
Если хотите еще подобных вещей, то можете посмотреть мою предыдущую статью https://pikabu.ru/story/tosinus_trigonometricheskaya_funktsi...
Так же можете посетить мой сайт http://www.perfect-math.top/
Ну а скоро будет интересный пост про Великую (прям как я) теорему Ферма!
Задавайте любый вопросы (по теме) в комментариях!










