Интересное решение
Речь пойдет о автомате защиты серии АСТ-2.Год производства 1968.
Прибор просто красавец, дизайн безупречен, что выгодно отличает эл. приборы 50-60 годов прошлого века от более поздних.
Чем же необычен этот автомат? Необычен он оригинальным устройством. Как мы знаем, большинство обычных автоматов имееют в качестве защиты два типа реле. Первое реле, это электромагнитное, которое быстро отключает сеть при коротком замыкании, и второе - тепловое, которое отключает сеть при довольном долгом превышении, определенного значения, тока через автомат.
У автомата АСТ-2, тоже есть эл. магнитное реле защищающее от КЗ.
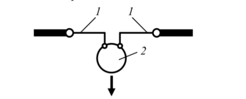
Хорошо видны катушки на металлических сердечниках и сверху круглые "шапочки" якорей - это и есть эл. магнитное реле.
Интересен механизм срабатывания, он здесь с элементом эксцентрики, который одновременно является тумблером автомата. Не думаю, что это надежнее чем в современных автоматах, скорее всего наооборот, но само по себе, оригинальное решение.
Впечатляет устройство контактной группы. Металла не пожалели, всё основательно, сечения большие, контакты серебряные на мощных теплоотводах.
Как видите, на первый взгляд, устройство имеет только реле от короткого замыкания, а тепловых реле на биметаллических пластинах нет. Значит этот автомат не имеет защиты от длительного прохождения большого тока? Но это не так.
Проволочкой указан сердечник-цилиндр, вокруг которого, через изоляцию конечно, намотана катушка реле.
Тут применено элегантное решение - сердечник эл. магнитного реле сделан полым. В эту полость наливают вязкую жидкость( не удалось уточнить какую, извините)), и помещают свободно перемещяющийся сердечник-поршень, а так же пружину.
Как это работает? При превышении величины проходящего тока через катушку, ей не хватает пока силы притянуть якорь и разорвать цепь. Но, постепенно, под действием эл. магнитных сил катушки, преодолевая сопротивление жидкости и пружины, начинает перемещаться сердечник-поршень, и если это по времени будет продолжаться, то сердечник втянется по цилиндру увеличивая притяжение к сердечнику реле якоря. В конце концов якорь притянется и реле разорвёт эл. цепь. Защита сработала. Интересное, красивое решение. Хотя, повторюсь, может и уступает в простоте и надежности современным схемам.







































