То же мне бином Ньютона!
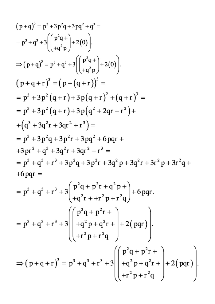
Написал статью + конспект + задачник про одну из самых известных формул в алгебре — Бином Ньютона! Честно говоря, даже не мог подумать, что у одной формулы найдется настолько много замечательных применений внутри математики!
В прошлом посте я писал, что "Сочетания" будут последней крупной темой в моем учебнике по комбинаторике. Я ошибался) Сначала думал сделать небольшую тему, но в итоге получилась большая и полноценная тема! Часть материала даже пришлось вырезать и оформить как заготовку отдельной темы.
Специально для статьи создал красивую анимацию построения треугольника Паскаля. Потратил на нее полдня, но получилось хорошо:
Каждая новая анимация заставляет глубже разбираться в библиотеке Manim, про которую я тоже уже упоминал в посте про "Перестановки".














