Сообщество - ВПитере

ВПитере

6 757 постов 12 500 подписчиков

Популярные теги в сообществе:

16

Помощи прошу. Скорее даже не лигу юристов, а лигу хозяйственнегов.

Как и кем регламентируется установка вот таких шумоизолирующих (не знаю как точнее назвать) вставок? Вот есть шоссе, трафик велик, есть дом (многоэтажный, до шоссе менее 100 метров). Я понимаю - лесополоса, все дела. Но есть ли регламент?

Рябовское шоссе (весь Всеволожск там и не только).

Для минусов добавлю.

Помощи прошу. Скорее даже не лигу юристов, а лигу хозяйственнегов.
36

Предложение квартир в Санкт-Петербурге и его пригородах

После пяти лет скитаний я возвращаюсь в родной город Санкт-Петербург. Конечно же возникает вопрос где же жить. В процессе поиска квартир в новостройках я нарисовал пару картинок, которые могут быть полезны людям думающим о покупке своей квартиры в новостройках Санкт-Петербурга. Представленные данные очень поверхностны, показывают общую картину на рынке. Если Вы уже активно ищете квартиру для покупки, то Вам эта информация вряд ли пригодиться. Вы и так уже все знаете. Прошу сильно не пинать, последний раз на русском я писал пять лет назад.


Все данные брались с сайта "_________" (убрал название т.к.  выглядит  как реклама) пару месяцев назад. Всего квартир в их базе было около 120 тыс. На карте это выглядит следующим образом.

На этой карте районы с наибольшей плотностью предложений показаны зеленым. Видно, что наиболее застраиваемыми являются окраины города: на севере районы вблизи метро Парнас, Шувалово (северо-запад), Девяткино(северо-восток). На юго-востоке это метро Рыбацкое и ул. Дыбенко. Центр города также активно застраивают. Ясно, что цены должны отличаться в зависимости от удаления от центра. Это хорошо видно на карте распределения квартир в различных ценовых категориях.

Квартир до 3х миллионов в центре просто нет. Они все находятся на окраине города. В черте города находятся квартиры стоимостью от 3 — 9 млн. Наконец элитные квартиры со стоимостью более 9 млн. находятся преимущественно в центре и на Василеостровском острове.

Я не думаю что Пикабушников заинтересуют такие объекты. Просто для справки, могу сказать что самая дорогая квартира в Петербурге стоит около 200 млн.  На момент написания поста ее по видимому купили.

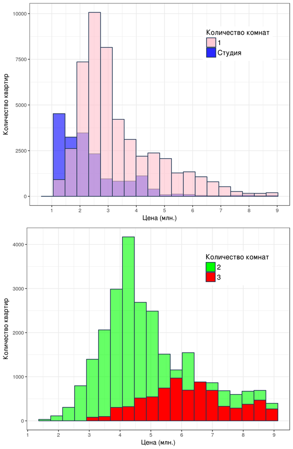
Где предлагают квартиры мы решили. Какие квартиры предлагают на рынке?

Из графика видно, что больше всего предлагают однушек со средней ценой около 2.5 млн. За ними идут двухкомнытные квартиры с ценой 4.5 млн., студии с ценой до 1.5 млн, и наконец 3-х комнатные квартиры за 6-7 млн.

На следующем графике представлено распределение квартир по площади.

В частности видно, что студия это преимущественно квартира с 25 м2. 1 к.к. - 40 м2, 2к.к — 60 м2 и наконец 3 к.к. - 85 м2.


Из всего этого, можно сделать очень простой вывод: в среднем по рынку предлагают однокомнатные квартиры 40 м2 с ценой в 2.5 млн. на окраине города.

Отчего же зависит цена? Основной фактор это конечно размер площади. Сначала я думал, что немаловажную роль играет расстояние до ближайшего метро, когда дом будет сдан, наличие/отсутствие внутренней отделки. Однако в среднем по рынку эти факторы играют малую роль. Это видно из следующего графика корреляций для квартир до 6 млн., в пределах 30 мин ходьбы до метро.

Здесь чем более красный квадрат тем более скоррелированы величины. Так цена и площадь скоррелированы очень сильно. На рынке трудно найти квартиры с той же ценой но большей площадью. Фактически цена больше ни отчего не зависит (очень слабо отрицательно скорректировано со всеми другими величинами). Тут нет никакой интересной информации за исключением корреляции между отделкой и датой сдачи дома. Т.е. новые строящиеся дома идут с отделкой. Также новые дома имеют всё большую высоту.


Это в среднем по рынку. У каждой компании понятно есть своя ценовая политика. Так, рассмотрим 3 тыс. квартир находящиеся в шаговой доступности от метро по цене меньше 9 млн. которые предлагает "_________" (убрал название т.к. выглядит как реклама)

Здесь цена сильно зависит не только от площади но и от даты сдачи дома. Линейная регрессия дает следующий результат:


Цена=94тыс x Площадь — 195 тыс x (Квартал Сдачи)


Интересно что вы экономите почти 200 тыс за каждый квартал до сдачи дома (3 мес.). Я много слышал, о бизнесе по покупке квартир на стадии строительства и последующей их продаже. Согласно этой формуле, если Вы купили квартиру за 5 млн., и получили квартиру через 4 квартала то цена такой же квартиры будет 5.8 млн. Таким образом прибыль 16% в год. Надо признать, что данный процент сильно варьируется от компании к компании.

Показать полностью 6
Отличная работа, все прочитано!